Are you in need of a power of attorney form but don’t want to spend money on expensive legal fees? Look no further! We have a free printable power of attorney template that you can easily customize to suit your needs.
Creating a power of attorney document is crucial for anyone who wants to ensure their affairs are taken care of in case of incapacity. Our template is user-friendly and can be tailored to your specific requirements in just a few simple steps.
free printable power of attorney template
Free Printable Power of Attorney Template
Our free printable power of attorney template covers all the essential aspects required for a legally binding document. Simply fill in the necessary details, such as the names of the parties involved, the powers granted, and any special instructions, and you’re good to go.
Whether you need a general power of attorney, a durable power of attorney, or a medical power of attorney, our template has got you covered. You can rest assured that your interests will be protected in the event of unforeseen circumstances.
Don’t wait until it’s too late to create a power of attorney. Download our free template today and take the necessary steps to safeguard your future. With our user-friendly form, you can have peace of mind knowing that your affairs are in order.
Take control of your future and protect your interests with our free printable power of attorney template. Download now and ensure that your wishes are respected and your affairs are managed according to your instructions.
Free Michigan Power Of Attorney Forms PDF CocoSign
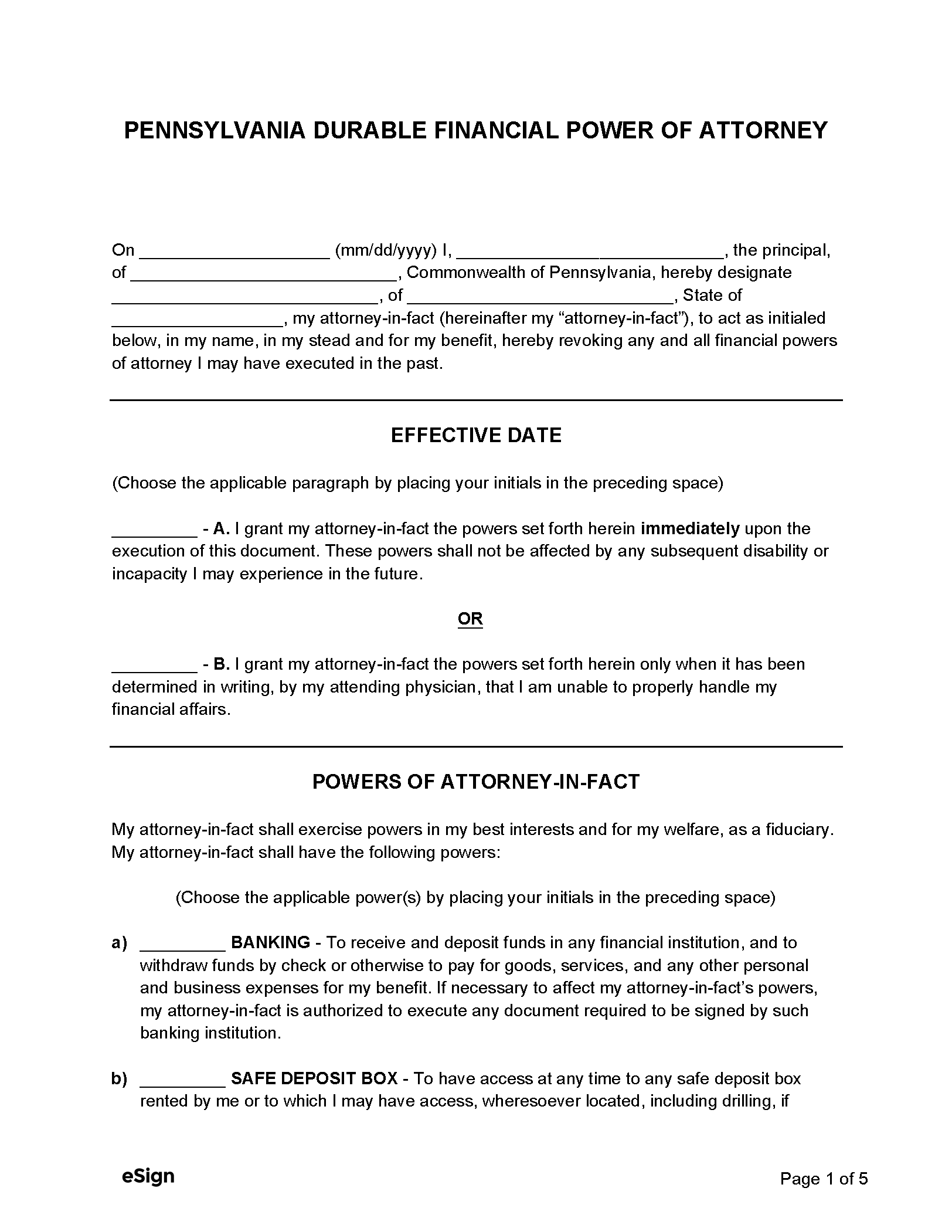
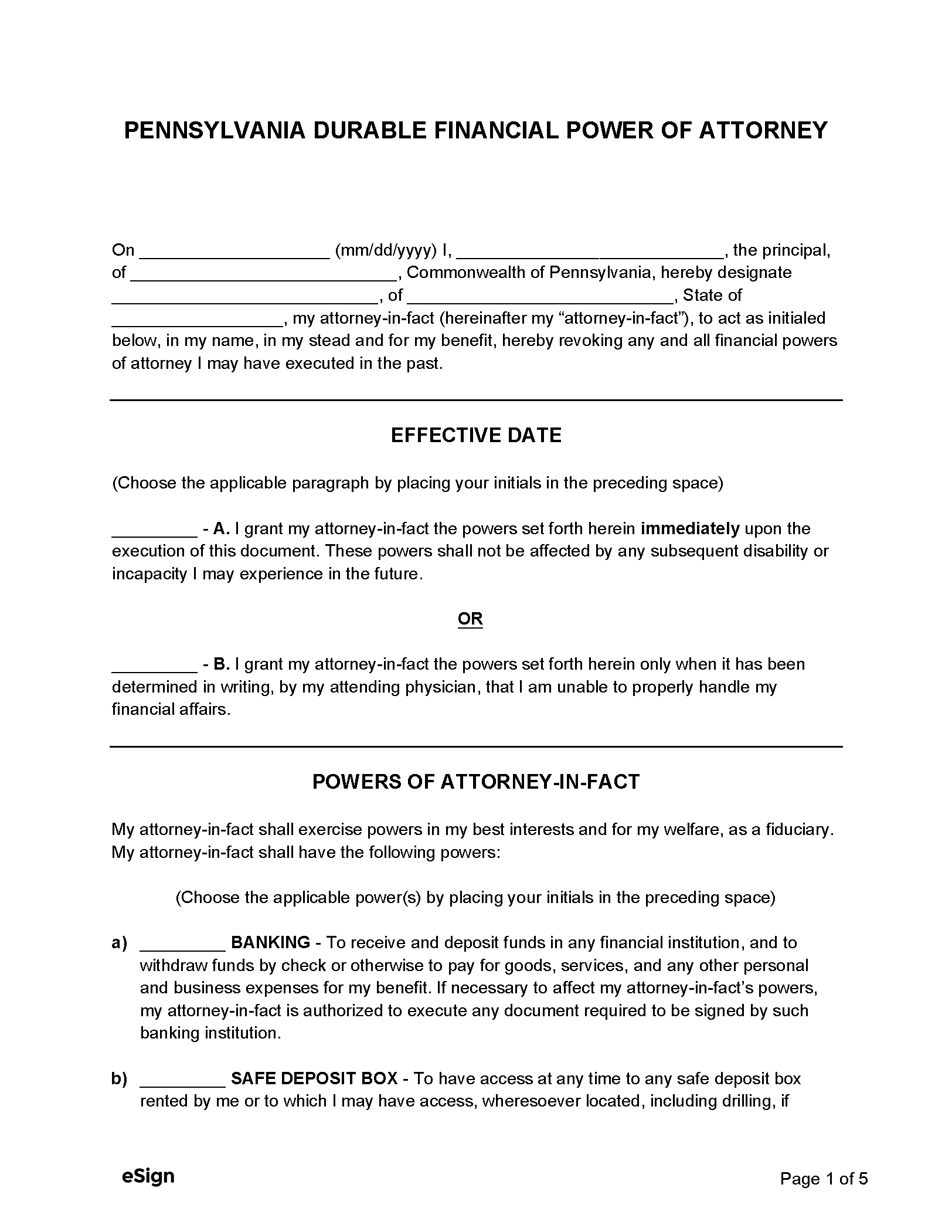
Free Pennsylvania Durable Power Of Attorney Form PDF Word
Free Printable Power Of Attorney Form Templates PDF Word POA
Free Limited Special Power Of Attorney Form PDF Word EForms
Free Power Of Attorney Forms PDF Word




