Have you ever needed a power of attorney form in California? It can be a stressful situation, but having a printable form can make the process much easier. With the right form, you can ensure that your wishes are carried out as you intended.
Whether you are planning for the future or need to make decisions for a loved one, having a power of attorney form in place is essential. By having a printable form on hand, you can quickly fill it out and have peace of mind knowing that your affairs are in order.
printable power of attorney form california
Printable Power of Attorney Form California: A Convenient Solution
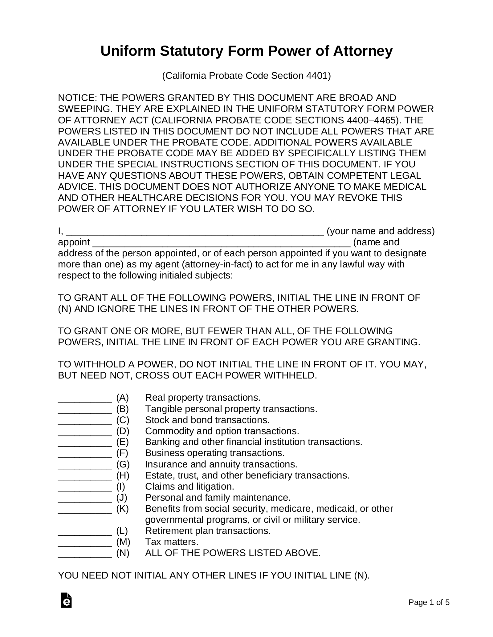
By utilizing a printable power of attorney form in California, you can easily designate someone to make decisions on your behalf. This form allows you to outline specific instructions and appoint a trusted individual to act on your behalf in various scenarios.
Having a printable form readily available can save you time and stress in the event of an emergency. By having this document prepared, you can ensure that your wishes are followed and that your affairs are managed appropriately.
Don’t wait until it’s too late to get your affairs in order. Take the time to download and complete a printable power of attorney form in California today. By doing so, you can have peace of mind knowing that your wishes will be carried out as you intended.
Free California Minor Child Power Of Attorney Form PDF
Free California Power Of Attorney Form PDF CocoSign
California Power Of Attorney Forms 10 Types EForms
Free California Power Of Attorney Forms PDF
Free California Power Of Attorney Forms PDF U0026 Word




